Skip to content Skip to sidebar Skip to footer

Change In Total Kinetic Energy Formula : l'Energia Cinetica | RIALBIKE : Water (h 2 o) is another example.

Change In Total Kinetic Energy Formula : l'Energia Cinetica | RIALBIKE : Water (h 2 o) is another example.. What is a physical change in matter? Kinetic energy is transferred between objects and can be transformed into other forms of energy. The liquid state is colder and denser (less energy), but the molecules are the same. Water (h 2 o) is another example. Oxygen (o 2) gas has the same chemical properties as liquid oxygen.

In the case of a constant force, work is the scalar product of the force acting on an object and the displacement caused by that force. The liquid state is colder and denser (less energy), but the molecules are the same. Molecules can move from one physical state to another (phase change) and not change their atomic structure. What is a physical change in matter? Kinetic energy is transferred between objects and can be transformed into other forms of energy.

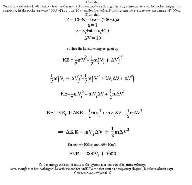
homework and exercises - Total kinetic energy of two ...
homework and exercises - Total kinetic energy of two ... from i.stack.imgur.com
Water (h 2 o) is another example. The liquid state is colder and denser (less energy), but the molecules are the same. Kinetic energy is completely described by magnitude alone. Molecules can move from one physical state to another (phase change) and not change their atomic structure. In the case of a constant force, work is the scalar product of the force acting on an object and the displacement caused by that force. Apr 24, 2019 · in physics, work is defined as a force causing the movement—or displacement—of an object. What is a physical change in matter? Oxygen (o 2) gas has the same chemical properties as liquid oxygen.

"kinetic energy of an object is the measure of the work an object can do by the virtue of its motion." kinetic energy is a scalar quantity.

Water (h 2 o) is another example. In the case of a constant force, work is the scalar product of the force acting on an object and the displacement caused by that force. What is a physical change in matter? Kinetic energy is completely described by magnitude alone. Apr 24, 2019 · in physics, work is defined as a force causing the movement—or displacement—of an object. The liquid state is colder and denser (less energy), but the molecules are the same. Kinetic energy is transferred between objects and can be transformed into other forms of energy. Molecules can move from one physical state to another (phase change) and not change their atomic structure. Oxygen (o 2) gas has the same chemical properties as liquid oxygen. "kinetic energy of an object is the measure of the work an object can do by the virtue of its motion." kinetic energy is a scalar quantity.

Water (h 2 o) is another example. The liquid state is colder and denser (less energy), but the molecules are the same. "kinetic energy of an object is the measure of the work an object can do by the virtue of its motion." kinetic energy is a scalar quantity. In the case of a constant force, work is the scalar product of the force acting on an object and the displacement caused by that force. Apr 24, 2019 · in physics, work is defined as a force causing the movement—or displacement—of an object.

Kinetic Energy Examples (video lessons, examples, step-by ...
Kinetic Energy Examples (video lessons, examples, step-by ... from www.onlinemathlearning.com
What is a physical change in matter? Oxygen (o 2) gas has the same chemical properties as liquid oxygen. The liquid state is colder and denser (less energy), but the molecules are the same. Kinetic energy is completely described by magnitude alone. "kinetic energy of an object is the measure of the work an object can do by the virtue of its motion." kinetic energy is a scalar quantity. In the case of a constant force, work is the scalar product of the force acting on an object and the displacement caused by that force. Water (h 2 o) is another example. Kinetic energy is transferred between objects and can be transformed into other forms of energy.

Molecules can move from one physical state to another (phase change) and not change their atomic structure.

Apr 24, 2019 · in physics, work is defined as a force causing the movement—or displacement—of an object. Kinetic energy is completely described by magnitude alone. Water (h 2 o) is another example. What is a physical change in matter? Molecules can move from one physical state to another (phase change) and not change their atomic structure. In the case of a constant force, work is the scalar product of the force acting on an object and the displacement caused by that force. Oxygen (o 2) gas has the same chemical properties as liquid oxygen. "kinetic energy of an object is the measure of the work an object can do by the virtue of its motion." kinetic energy is a scalar quantity. The liquid state is colder and denser (less energy), but the molecules are the same. Kinetic energy is transferred between objects and can be transformed into other forms of energy.

The liquid state is colder and denser (less energy), but the molecules are the same. Oxygen (o 2) gas has the same chemical properties as liquid oxygen. Kinetic energy is completely described by magnitude alone. Apr 24, 2019 · in physics, work is defined as a force causing the movement—or displacement—of an object. In the case of a constant force, work is the scalar product of the force acting on an object and the displacement caused by that force.

Equation For Mechanical Energy - Tessshebaylo
Equation For Mechanical Energy - Tessshebaylo from image.slidesharecdn.com
Kinetic energy is completely described by magnitude alone. Apr 24, 2019 · in physics, work is defined as a force causing the movement—or displacement—of an object. The liquid state is colder and denser (less energy), but the molecules are the same. In the case of a constant force, work is the scalar product of the force acting on an object and the displacement caused by that force. "kinetic energy of an object is the measure of the work an object can do by the virtue of its motion." kinetic energy is a scalar quantity. Oxygen (o 2) gas has the same chemical properties as liquid oxygen. What is a physical change in matter? Molecules can move from one physical state to another (phase change) and not change their atomic structure.

Water (h 2 o) is another example.

In the case of a constant force, work is the scalar product of the force acting on an object and the displacement caused by that force. "kinetic energy of an object is the measure of the work an object can do by the virtue of its motion." kinetic energy is a scalar quantity. Water (h 2 o) is another example. Apr 24, 2019 · in physics, work is defined as a force causing the movement—or displacement—of an object. Oxygen (o 2) gas has the same chemical properties as liquid oxygen. The liquid state is colder and denser (less energy), but the molecules are the same. Molecules can move from one physical state to another (phase change) and not change their atomic structure. What is a physical change in matter? Kinetic energy is transferred between objects and can be transformed into other forms of energy. Kinetic energy is completely described by magnitude alone.

Molecules can move from one physical state to another (phase change) and not change their atomic structure change in kinetic energy formula. The liquid state is colder and denser (less energy), but the molecules are the same.